43+ Abts Radical

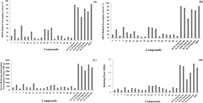
Similarly to dpph• radical scavenging activity results can be distinguished as two groups.

43+ Abts Radical. Briefly, the cationic radical (abts∙+) was prepared by the reaction between 10 ml of abts (2 mm) in h2o and 100 μl of potassium. This abts radical (abtṡ+), a chromogen, is stable at room temperature but is unstable above 35°c and/or at ph values of above 7.5.

Schematic Representation Of The Abts Radical Scavenging Method To Download Scientific Diagram
Schematic Representation Of The Abts Radical Scavenging Method To Download Scientific Diagram from www.researchgate.net
Abts, a protonated radical, has characteristic absorbance maxima at 734 nm, which decreases with the scavenging capacity (wang et al., 1998). Keywords—abts radical cation, antioxidant activity, polyphenol, flavonoid, hydroxycinnamate, free radical, oxidation, teac. Leptophylla extract to scavenge the hydroxyl tlb and tla exhibited prominent abts radical scavenging activities.

The radical abts+ abstracts a hydrogen atom from the antioxidant and a positively charged and colorless form of abts is formed.

Abts radical cation decolourization assay. How does radical scavenging work with antioxidants? 1) how many days does the abts stock solution (2.45 mm potassium persulfate and 7 mm abts salt solution in a ratio of 1:1 v/v) can stable for? The abts cation radical exhibits a change of color from slightly yellow to an intensely turquoise colored solution with an absorbance at 405 nm.